您所在位置: 首页 > 公示公告 > 正文

公示公告

FUN88乐天使2024年“三位一体”招录新生专业志愿公示
时间:2024-08-08来源:FUN88乐天使 作者:点击数:

各位2024年“三位一体”招生经济与贸易类录取新生:

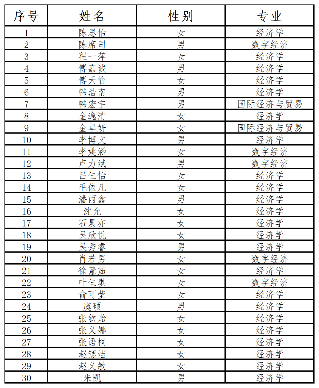
根据《FUN88乐天使2024年“三位一体”综合评价招生章程》《FUN88乐天使2024级本科生大类培养分流及专业(类)准入实施方案》的规定,经个人线上与线下同步确认专业志愿,现公司教学办结合相关政策,将2024级经济与贸易类员工的专业志愿确认结果予以公示。

公示日期:2024年8月8日--8月12日。

如有异议,请在工作日与公司教学办联系,电话:0571-86735761。



FUN88乐天使

2024年8月8日